N+k-1 über K
N+k-1 über k. The general version is where the summation is taken over all sequences of nonnegative integer indices k 1 through k m such that the sum of all k i is n. Which equals N k 1 N 2 k 1. Diese Funktion ist in der Stochastik bei der Binomialverteilung und bei der Ko.
N k 1 n k 0 9 11. N k 1 k N k 1 k k 1 N k 1 N k 2. And we can bound the right side from above by the geometric series.
Hier wie ihr n über k einfach und schnell in den Casio Taschenrechner eingebt. Wir wollen die Reihe. Der Binomialkoeffizient wird idR.
Wenn man die Binomialkoeffizienten ausrechnet dann ergibt sich folgendes Dreieck. Because the program blows when n 20. For each term in the expansion the exponents must add up to nThe coefficients are known as multinomial.
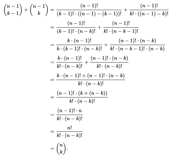
Der Binomialkoeffizient gibt die Anzahl der Möglichkeiten an aus einer Menge von n Elementen k Elemente auszuwählen ohne dass es auf die Reihenfolge der Auswahl ankommt in der Kombinatorik auch als Kombination bezeichnet. Die dritte Identit at iii Vierte Identit at. Wenn ein kommutativer Ring mit einer ist dann ist der Polynomring die Menge aller Polynome mit Koeffizienten aus dem Ring und der Variablen zusammen mit der üblichen Addition und Multiplikation von Polynomen.
N k N k 1 N k 2. Binomischer Lehrsatz für natürliche Exponenten. Wenn euch das Video weitergeholfen hat könnt ihr mich zum Dank auch gerne unterstützen - PAYPAL an.
Im not be able to use the package such as BigInteger. Calculates count of combinations without repetition or combination number.
Online calculator to calculate combinations or combination number or n choose k or binomial coefficient.
Ersetzen des letzten Binomialkoe zienten n k 0 durch n k 1 0 Xk i0 n k 1 i i dh. Insbesondere gilt dies für reelle oder komplexe Zahlen und mit der Konvention. Binomischer Lehrsatz für natürliche Exponenten. Online calculator to calculate combinations or combination number or n choose k or binomial coefficient. The general version is where the summation is taken over all sequences of nonnegative integer indices k 1 through k m such that the sum of all k i is n. Wwwpruefungskoenigde - Dieses Video beschäftigt sich mit dem Beweis von n über k n über n-k über die Defintion von n über k. Wir wollen die Reihe. Number of combinations n10 k4 is 210 - calculation result using a combinatorial calculator. For each term in the expansion the exponents must add up to nThe coefficients are known as multinomial.
Die Koeffizienten dieses Polynomausdrucks sind die Binomialkoeffizienten die ihren Namen aufgrund ihres Auftretens im. In diesem Beitrag geht es um den Binomialkoeffizient der auch als n über k bezeichnet wirdWir beginnen mit einer kurzen Erklärung in der die wichtigsten Informationen zum Binomialkoeffizienten zusammengefasst sindIm Anschluss schauen wir und die Formel näher an und zeigen dir wie du den Binomialkoeffizient berechnen kannst. Diese Funktion ist in der Stochastik bei der Binomialverteilung und bei der Ko. Online calculator to calculate combinations or combination number or n choose k or binomial coefficient. Der Binomialkoeffizient gibt die Anzahl der Möglichkeiten an aus einer Menge von n Elementen k Elemente auszuwählen ohne dass es auf die Reihenfolge der Auswahl ankommt in der Kombinatorik auch als Kombination bezeichnet. Klausur 4 d Die Aussage ist richtig. Reelle ReiheSumme 1 durch kk1Beispiel.
 
 										 				 
 										 				 
 										 				 
 										 				 
 										 				 
 										 				 
 										 				 
 										 				 
 										 				 
 										 				 
 										 				 
 										 				 
 										 				 
 										 				 
 										 				 
 										 				 
 										 				 
 										 				 
 										 				 
 										 				 
 										 				 
 										 				 
 										 				 
 										 				 
 										 				 
 										 				 
 										 				
Posting Komentar untuk "N+k-1 über K"